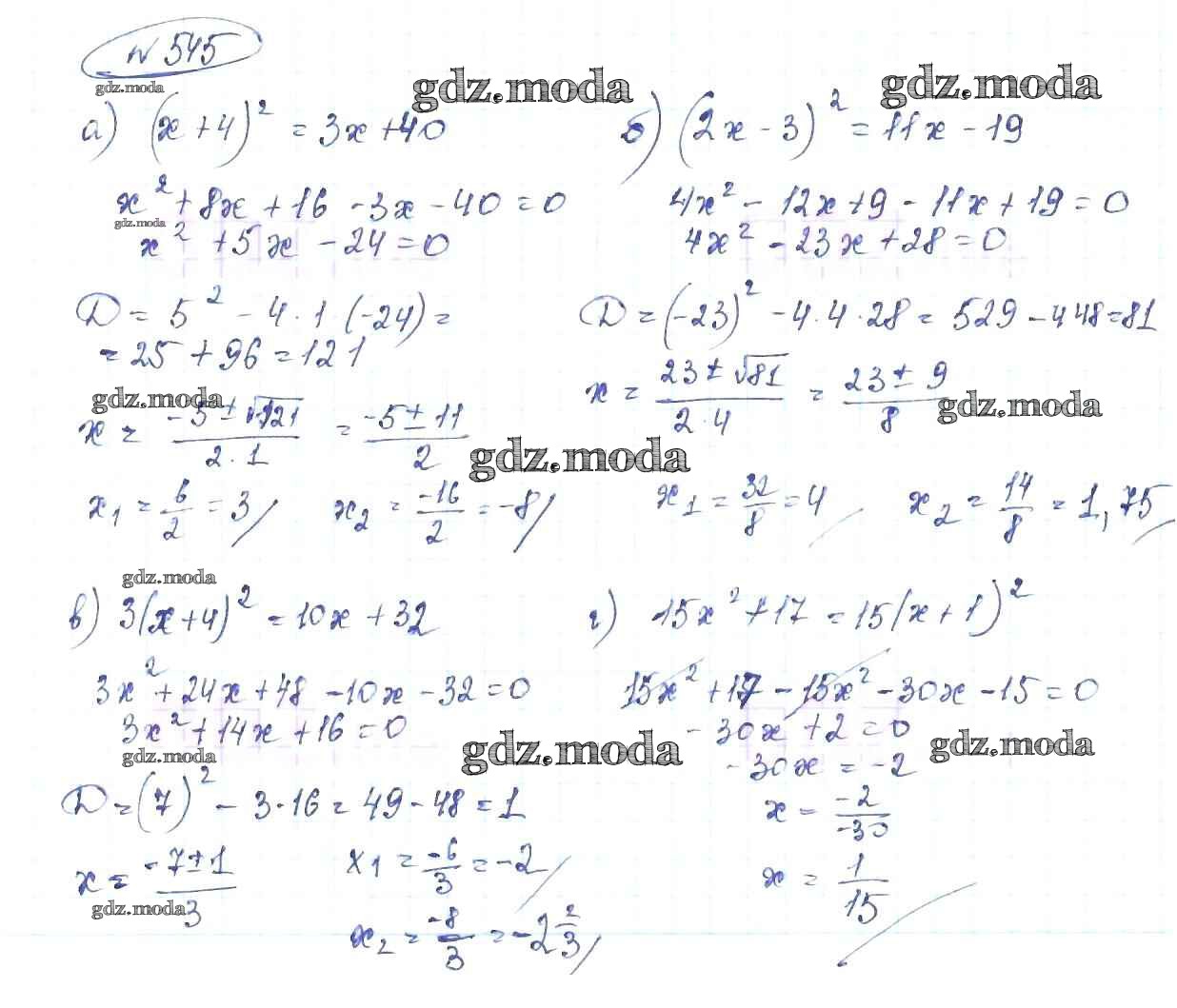
ОТВЕТ на задание № 545 Учебник по Алгебре 8 класс Макарычев
Учебник
упражнение / 545

Решебник №1
упражнение / 545

Решебник №2
упражнение / 545



Решебник №3
упражнение / 545


Решебник №4
упражнение / 545


Решебник №5
упражнение / 545

Решебник №6
упражнение / 545

Решебник №7
упражнение / 545
