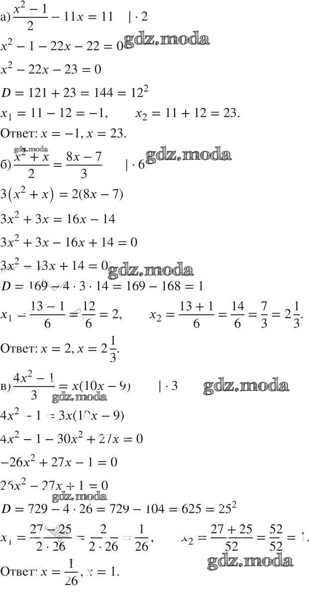
ОТВЕТ на задание № 546 Учебник по Алгебре 8 класс Макарычев
Учебник
упражнение / 546

Решебник №1
упражнение / 546

Решебник №2
упражнение / 546


Решебник №3
упражнение / 546

Решебник №4
упражнение / 546


Решебник №5
упражнение / 546

Решебник №6
упражнение / 546

Решебник №7
упражнение / 546
