ОТВЕТ на задание № 56 Учебник по Алгебре 8 класс Макарычев
Учебник
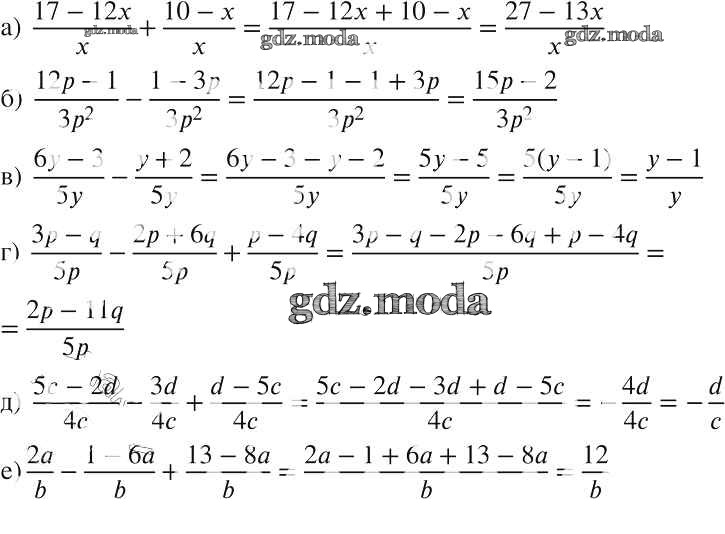
упражнение / 56

Решебник №1
упражнение / 56

Решебник №2
упражнение / 56

Решебник №3
упражнение / 56

Решебник №4
упражнение / 56


Решебник №5
упражнение / 56

Решебник №6
упражнение / 56

Решебник №7
упражнение / 56
