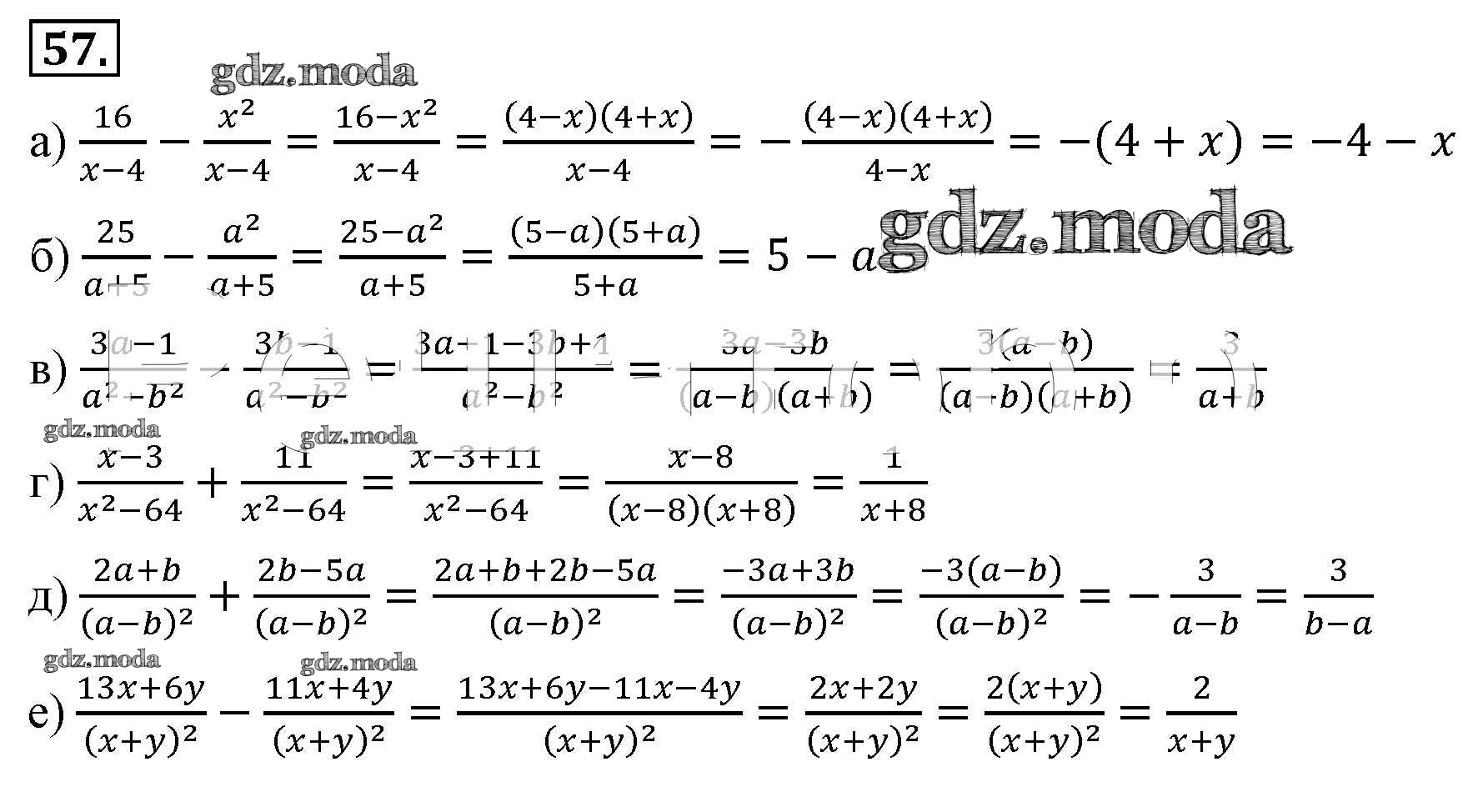
ОТВЕТ на задание № 57 Учебник по Алгебре 8 класс Макарычев
Учебник
упражнение / 57

Решебник №1
упражнение / 57

Решебник №2
упражнение / 57

Решебник №3
упражнение / 57


Решебник №4
упражнение / 57


Решебник №5
упражнение / 57

Решебник №6
упражнение / 57

Решебник №7
упражнение / 57
