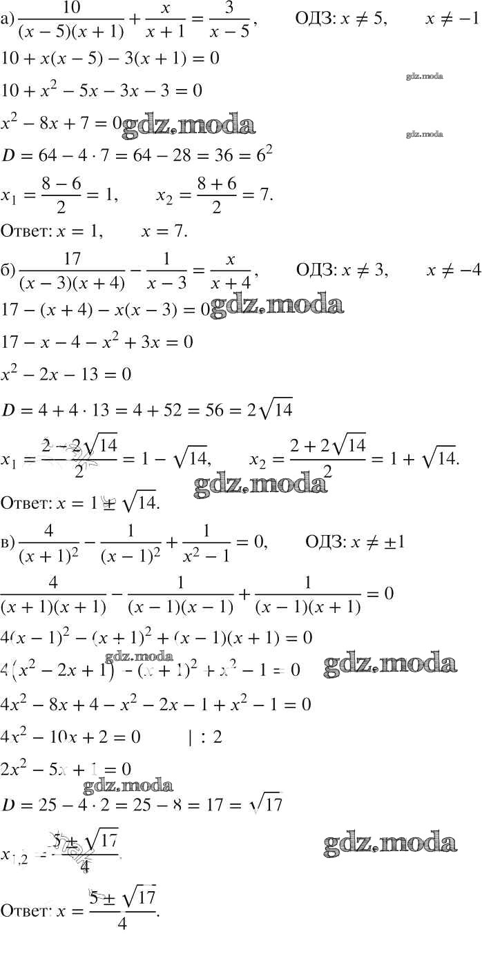
ОТВЕТ на задание № 608 Учебник по Алгебре 8 класс Макарычев
Учебник
упражнение / 608

Решебник №1
упражнение / 608

Решебник №2
упражнение / 608


Решебник №3
упражнение / 608

Решебник №4
упражнение / 608



Решебник №5
упражнение / 608

Решебник №7
упражнение / 608
