ОТВЕТ на задание № 609 Учебник по Алгебре 8 класс Макарычев
Учебник
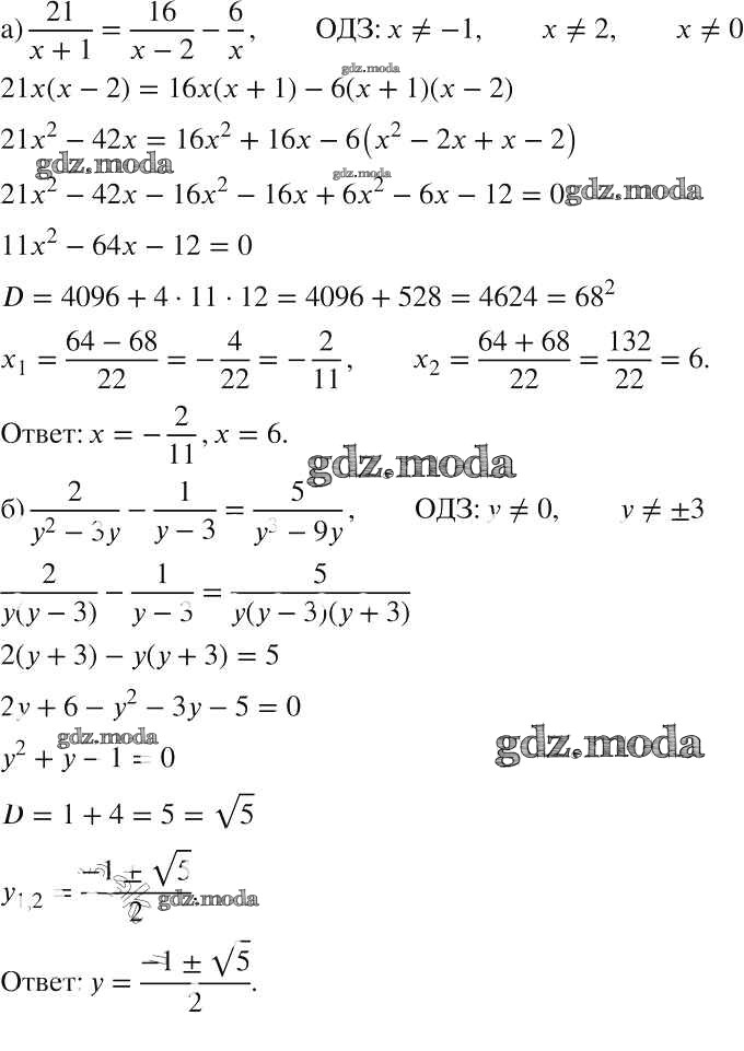
упражнение / 609

Решебник №1
упражнение / 609

Решебник №2
упражнение / 609


Решебник №3
упражнение / 609

Решебник №4
упражнение / 609




Решебник №5
упражнение / 609

Решебник №7
упражнение / 609
