ОТВЕТ на задание № 610 Учебник по Алгебре 8 класс Макарычев
Учебник
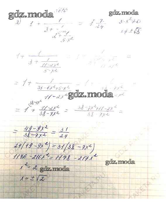
упражнение / 610

Решебник №1
упражнение / 610

Решебник №2
упражнение / 610


Решебник №3
упражнение / 610

Решебник №4
упражнение / 610



Решебник №5
упражнение / 610

Решебник №7
упражнение / 610
