ОТВЕТ на задание № 614 Учебник по Алгебре 8 класс Макарычев
Учебник
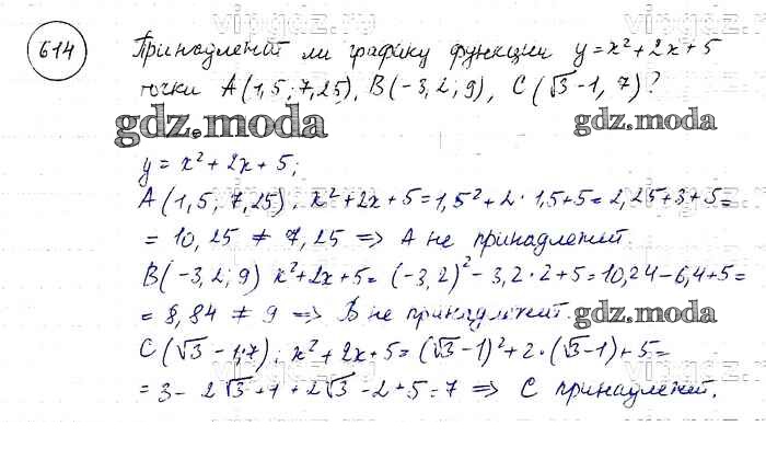
упражнение / 614

Решебник №1
упражнение / 614

Решебник №2
упражнение / 614

Решебник №3
упражнение / 614

Решебник №4
упражнение / 614


Решебник №5
упражнение / 614

Решебник №7
упражнение / 614
