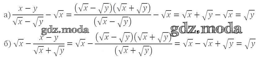
ОТВЕТ на задание № 615 Учебник по Алгебре 8 класс Макарычев
Учебник
упражнение / 615

Решебник №1
упражнение / 615

Решебник №2
упражнение / 615

Решебник №3
упражнение / 615

Решебник №4
упражнение / 615

Решебник №5
упражнение / 615

Решебник №7
упражнение / 615
