ОТВЕТ на задание № 616 Учебник по Алгебре 8 класс Макарычев
Учебник
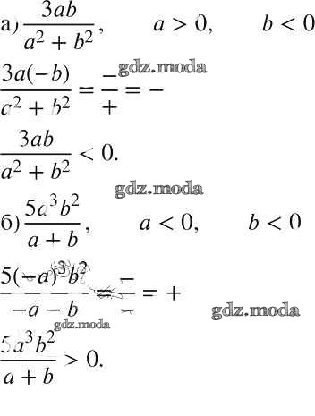
упражнение / 616

Решебник №1
упражнение / 616

Решебник №2
упражнение / 616

Решебник №3
упражнение / 616

Решебник №4
упражнение / 616


Решебник №5
упражнение / 616

Решебник №7
упражнение / 616
