ОТВЕТ на задание № 654 Учебник по Алгебре 8 класс Макарычев
Учебник
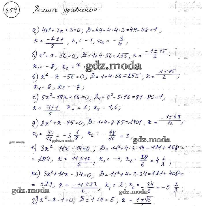
упражнение / 654

Решебник №1
упражнение / 654

Решебник №2
упражнение / 654


Решебник №3
упражнение / 654

Решебник №4
упражнение / 654


Решебник №5
упражнение / 654

Решебник №7
упражнение / 654
