ОТВЕТ на задание № 655 Учебник по Алгебре 8 класс Макарычев
Учебник
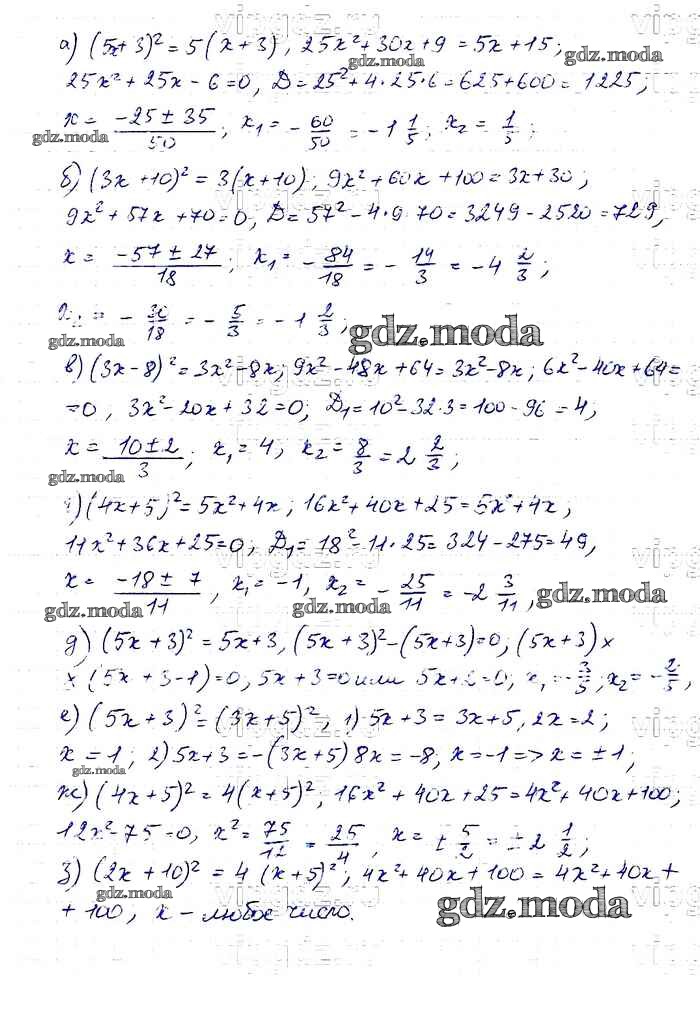
упражнение / 655

Решебник №1
упражнение / 655

Решебник №2
упражнение / 655



Решебник №3
упражнение / 655


Решебник №4
упражнение / 655


Решебник №5
упражнение / 655

Решебник №7
упражнение / 655
