ОТВЕТ на задание № 656 Учебник по Алгебре 8 класс Макарычев
Учебник
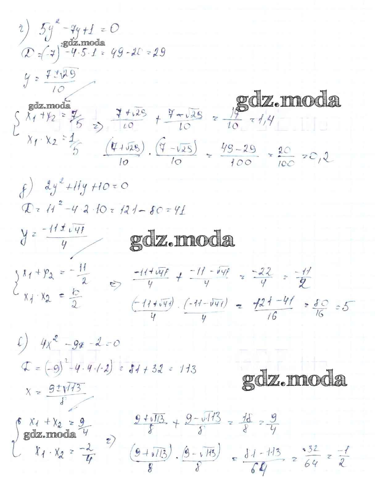
упражнение / 656

Решебник №1
упражнение / 656

Решебник №2
упражнение / 656



Решебник №3
упражнение / 656


Решебник №4
упражнение / 656


Решебник №5
упражнение / 656

Решебник №7
упражнение / 656
