ОТВЕТ на задание № 657 Учебник по Алгебре 8 класс Макарычев
Учебник
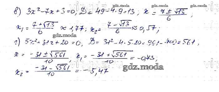
упражнение / 657

Решебник №1
упражнение / 657

Решебник №2
упражнение / 657

Решебник №3
упражнение / 657


Решебник №4
упражнение / 657

Решебник №5
упражнение / 657

Решебник №7
упражнение / 657
