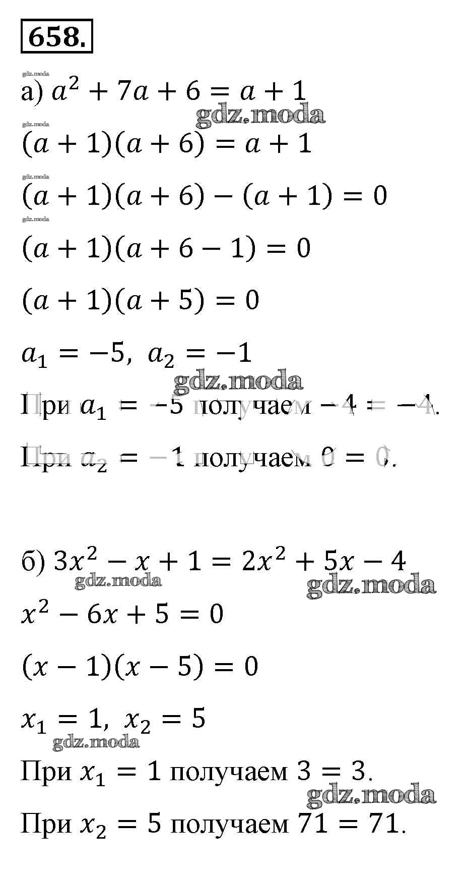
ОТВЕТ на задание № 658 Учебник по Алгебре 8 класс Макарычев
Учебник
упражнение / 658

Решебник №1
упражнение / 658

Решебник №2
упражнение / 658

Решебник №3
упражнение / 658

Решебник №4
упражнение / 658

Решебник №5
упражнение / 658

Решебник №7
упражнение / 658
