ОТВЕТ на задание № 688 Учебник по Алгебре 8 класс Макарычев
Учебник
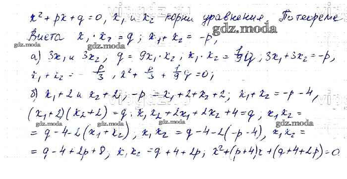
упражнение / 688

Решебник №1
упражнение / 688

Решебник №2
упражнение / 688

Решебник №3
упражнение / 688


Решебник №4
упражнение / 688


Решебник №5
упражнение / 688

Решебник №7
упражнение / 688
