ОТВЕТ на задание № 689 Учебник по Алгебре 8 класс Макарычев
Учебник
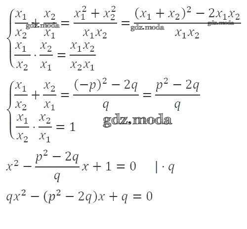
упражнение / 689

Решебник №1
упражнение / 689

Решебник №2
упражнение / 689

Решебник №3
упражнение / 689

Решебник №4
упражнение / 689


Решебник №5
упражнение / 689

Решебник №7
упражнение / 689
