ОТВЕТ на задание № 738 Учебник по Алгебре 8 класс Макарычев
Учебник
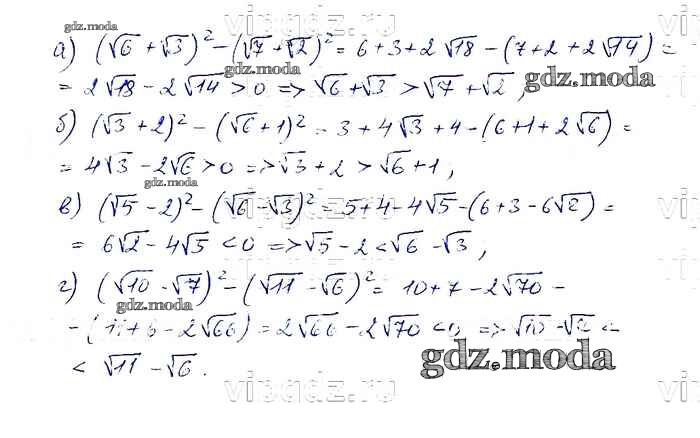
упражнение / 738

Решебник №1
упражнение / 738

Решебник №2
упражнение / 738

Решебник №3
упражнение / 738


Решебник №4
упражнение / 738

Решебник №5
упражнение / 738

Решебник №7
упражнение / 738
