ОТВЕТ на задание № 739 Учебник по Алгебре 8 класс Макарычев
Учебник
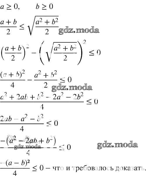
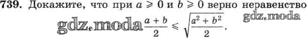
упражнение / 739

Решебник №1
упражнение / 739

Решебник №2
упражнение / 739

Решебник №3
упражнение / 739

Решебник №4
упражнение / 739

Решебник №5
упражнение / 739

Решебник №7
упражнение / 739
