ОТВЕТ на задание № 82 Учебник по Алгебре 8 класс Макарычев
Учебник
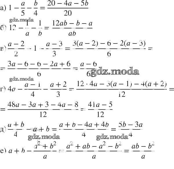
упражнение / 82

Решебник №1
упражнение / 82

Решебник №2
упражнение / 82

Решебник №3
упражнение / 82

Решебник №4
упражнение / 82


Решебник №5
упражнение / 82

Решебник №6
упражнение / 82

Решебник №7
упражнение / 82
