ОТВЕТ на задание № 83 Учебник по Алгебре 8 класс Макарычев
Учебник
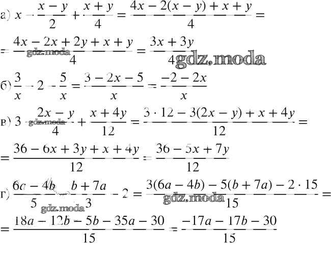
упражнение / 83

Решебник №1
упражнение / 83

Решебник №2
упражнение / 83

Решебник №3
упражнение / 83

Решебник №4
упражнение / 83

Решебник №5
упражнение / 83

Решебник №6
упражнение / 83

Решебник №7
упражнение / 83
