ОТВЕТ на задание № 84 Учебник по Алгебре 8 класс Макарычев
Учебник
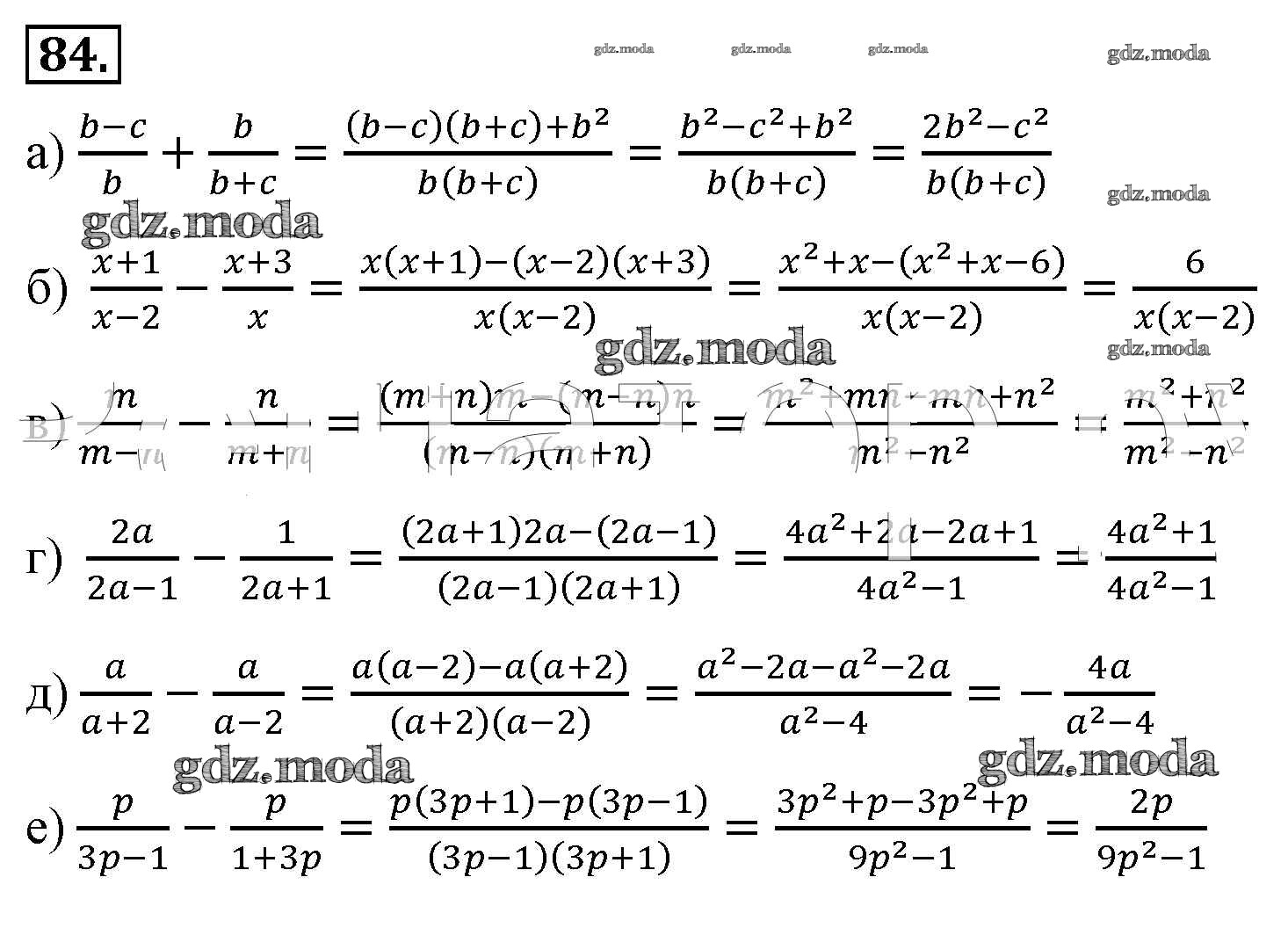
упражнение / 84

Решебник №1
упражнение / 84

Решебник №2
упражнение / 84

Решебник №3
упражнение / 84

Решебник №4
упражнение / 84


Решебник №5
упражнение / 84

Решебник №6
упражнение / 84

Решебник №7
упражнение / 84
