ОТВЕТ на задание № 85 Учебник по Алгебре 8 класс Макарычев
Учебник
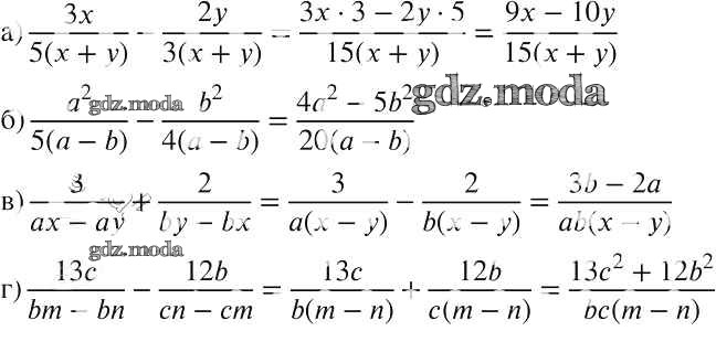
упражнение / 85

Решебник №1
упражнение / 85

Решебник №2
упражнение / 85

Решебник №3
упражнение / 85

Решебник №4
упражнение / 85


Решебник №5
упражнение / 85

Решебник №6
упражнение / 85

Решебник №7
упражнение / 85
