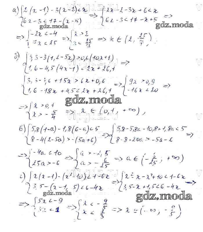
ОТВЕТ на задание № 886 Учебник по Алгебре 8 класс Макарычев
Учебник
упражнение / 886

Решебник №1
упражнение / 886

Решебник №2
упражнение / 886

Решебник №3
упражнение / 886


Решебник №4
упражнение / 886


Решебник №5
упражнение / 886

Решебник №7
упражнение / 886
