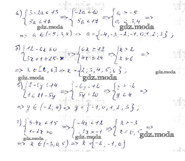
ОТВЕТ на задание № 887 Учебник по Алгебре 8 класс Макарычев
Учебник
упражнение / 887

Решебник №1
упражнение / 887

Решебник №2
упражнение / 887

Решебник №3
упражнение / 887


Решебник №4
упражнение / 887

Решебник №5
упражнение / 887

Решебник №7
упражнение / 887
