ОТВЕТ на задание № 888 Учебник по Алгебре 8 класс Макарычев
Учебник
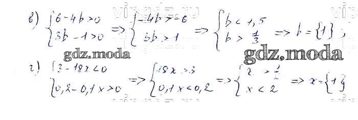
упражнение / 888

Решебник №1
упражнение / 888

Решебник №2
упражнение / 888

Решебник №3
упражнение / 888


Решебник №4
упражнение / 888

Решебник №5
упражнение / 888

Решебник №7
упражнение / 888
