ОТВЕТ на задание № 906 Учебник по Алгебре 8 класс Макарычев
Учебник
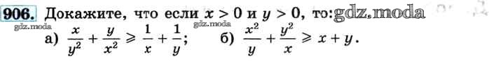
упражнение / 906

Решебник №1
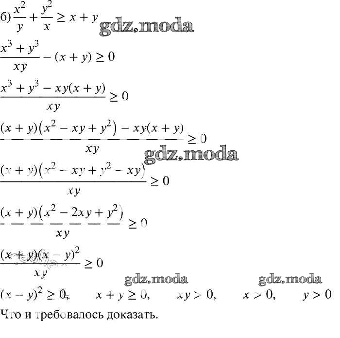
упражнение / 906

Решебник №2
упражнение / 906


Решебник №3
упражнение / 906

Решебник №4
упражнение / 906

Решебник №5
упражнение / 906

Решебник №7
упражнение / 906
