ОТВЕТ на задание № 907 Учебник по Алгебре 8 класс Макарычев
Учебник
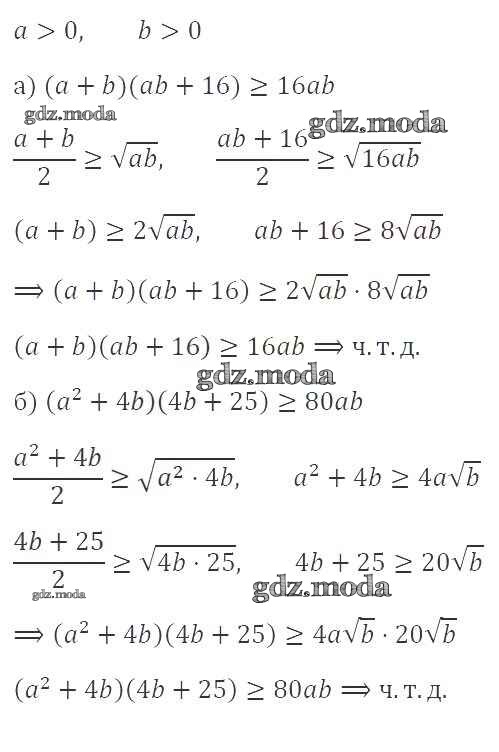
упражнение / 907

Решебник №1
упражнение / 907

Решебник №2
упражнение / 907

Решебник №3
упражнение / 907

Решебник №4
упражнение / 907


Решебник №5
упражнение / 907

Решебник №7
упражнение / 907
