ОТВЕТ на задание № 908 Учебник по Алгебре 8 класс Макарычев
Учебник
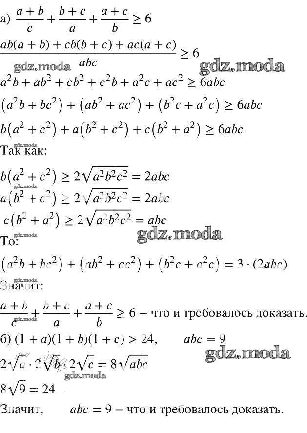
упражнение / 908

Решебник №1
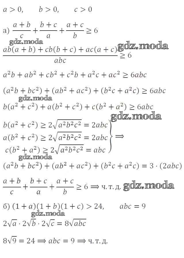
упражнение / 908

Решебник №2
упражнение / 908

Решебник №3
упражнение / 908

Решебник №4
упражнение / 908

Решебник №5
упражнение / 908

Решебник №7
упражнение / 908
