ОТВЕТ на задание № 909 Учебник по Алгебре 8 класс Макарычев
Учебник
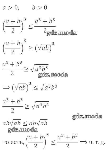
упражнение / 909

Решебник №1
упражнение / 909

Решебник №2
упражнение / 909

Решебник №3
упражнение / 909

Решебник №4
упражнение / 909

Решебник №5
упражнение / 909

Решебник №7
упражнение / 909
