ОТВЕТ на задание № 910 Учебник по Алгебре 8 класс Макарычев
Учебник
упражнение / 910

Решебник №1
упражнение / 910

Решебник №2
упражнение / 910

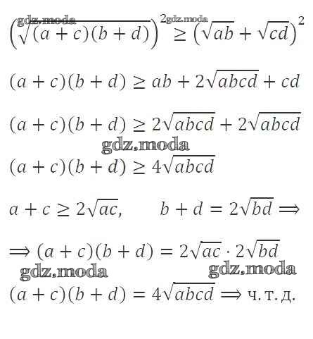
Решебник №3
упражнение / 910


Решебник №4
упражнение / 910

Решебник №5
упражнение / 910

Решебник №7
упражнение / 910
