ОТВЕТ на задание № 911 Учебник по Алгебре 8 класс Макарычев
Учебник
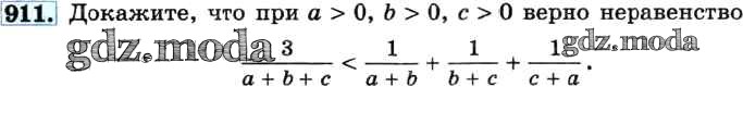
упражнение / 911

Решебник №1
упражнение / 911

Решебник №2
упражнение / 911

Решебник №3
упражнение / 911

Решебник №4
упражнение / 911

Решебник №5
упражнение / 911

Решебник №7
упражнение / 911
