ОТВЕТ на задание № 912 Учебник по Алгебре 8 класс Макарычев
Учебник
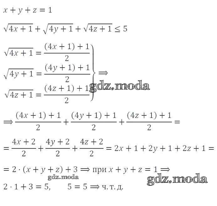
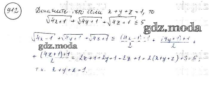
упражнение / 912

Решебник №1
упражнение / 912

Решебник №2
упражнение / 912

Решебник №3
упражнение / 912

Решебник №4
упражнение / 912

Решебник №5
упражнение / 912

Решебник №7
упражнение / 912
