ОТВЕТ на задание № 913 Учебник по Алгебре 8 класс Макарычев
Учебник
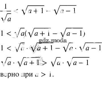
упражнение / 913

Решебник №1
упражнение / 913

Решебник №2
упражнение / 913

Решебник №3
упражнение / 913

Решебник №4
упражнение / 913


Решебник №5
упражнение / 913

Решебник №7
упражнение / 913
