ОТВЕТ на задание № 92 Учебник по Алгебре 8 класс Макарычев
Учебник
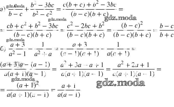
упражнение / 92

Решебник №1
упражнение / 92

Решебник №2
упражнение / 92

Решебник №3
упражнение / 92

Решебник №4
упражнение / 92


Решебник №5
упражнение / 92

Решебник №6
упражнение / 92

Решебник №7
упражнение / 92
