ОТВЕТ на задание № 93 Учебник по Алгебре 8 класс Макарычев
Учебник
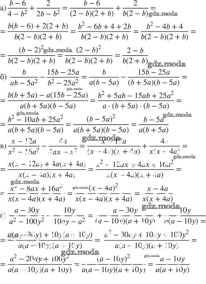
упражнение / 93

Решебник №1
упражнение / 93

Решебник №2
упражнение / 93

Решебник №3
упражнение / 93

Решебник №4
упражнение / 93



Решебник №5
упражнение / 93

Решебник №6
упражнение / 93

Решебник №7
упражнение / 93
