ОТВЕТ на задание № 94 Учебник по Алгебре 8 класс Макарычев
Учебник
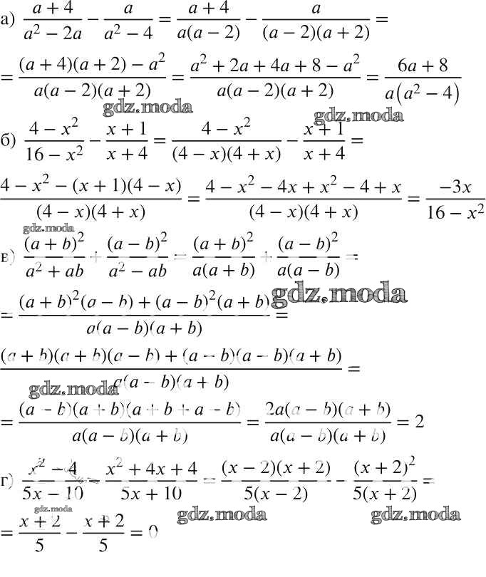
упражнение / 94

Решебник №1
упражнение / 94

Решебник №2
упражнение / 94

Решебник №3
упражнение / 94


Решебник №4
упражнение / 94



Решебник №5
упражнение / 94

Решебник №6
упражнение / 94

Решебник №7
упражнение / 94
