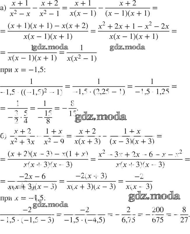
ОТВЕТ на задание № 95 Учебник по Алгебре 8 класс Макарычев
Учебник
упражнение / 95

Решебник №1
упражнение / 95

Решебник №2
упражнение / 95

Решебник №3
упражнение / 95

Решебник №4
упражнение / 95


Решебник №5
упражнение / 95

Решебник №6
упражнение / 95

Решебник №7
упражнение / 95
