ОТВЕТ на задание № 96 Учебник по Алгебре 8 класс Макарычев
Учебник
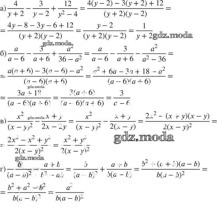
упражнение / 96

Решебник №1
упражнение / 96

Решебник №2
упражнение / 96

Решебник №3
упражнение / 96

Решебник №4
упражнение / 96


Решебник №5
упражнение / 96

Решебник №6
упражнение / 96

Решебник №7
упражнение / 96
