ОТВЕТ на задание № 926 Учебник по Алгебре 8 класс Макарычев
Учебник
упражнение / 926

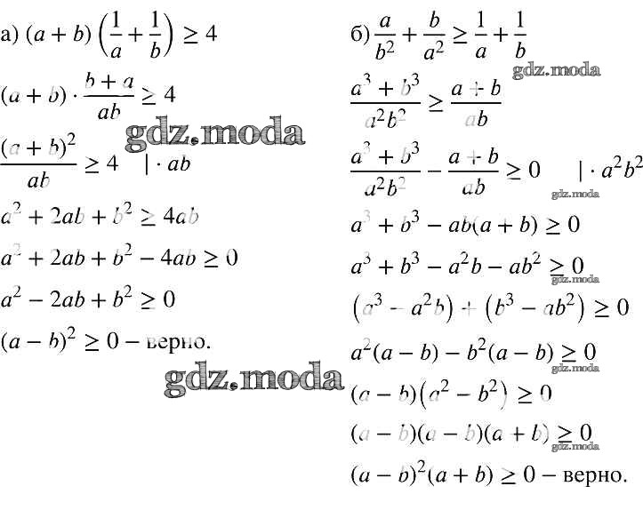
Решебник №1
упражнение / 926

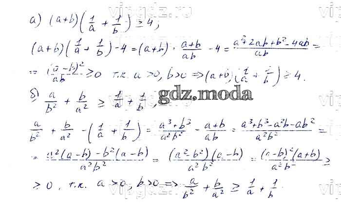
Решебник №2
упражнение / 926

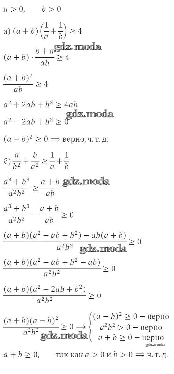
Решебник №3
упражнение / 926


Решебник №4
упражнение / 926

Решебник №5
упражнение / 926

Решебник №7
упражнение / 926
