ОТВЕТ на задание № 927 Учебник по Алгебре 8 класс Макарычев
Учебник
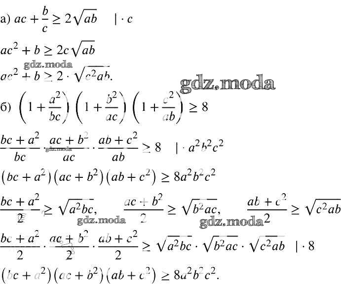
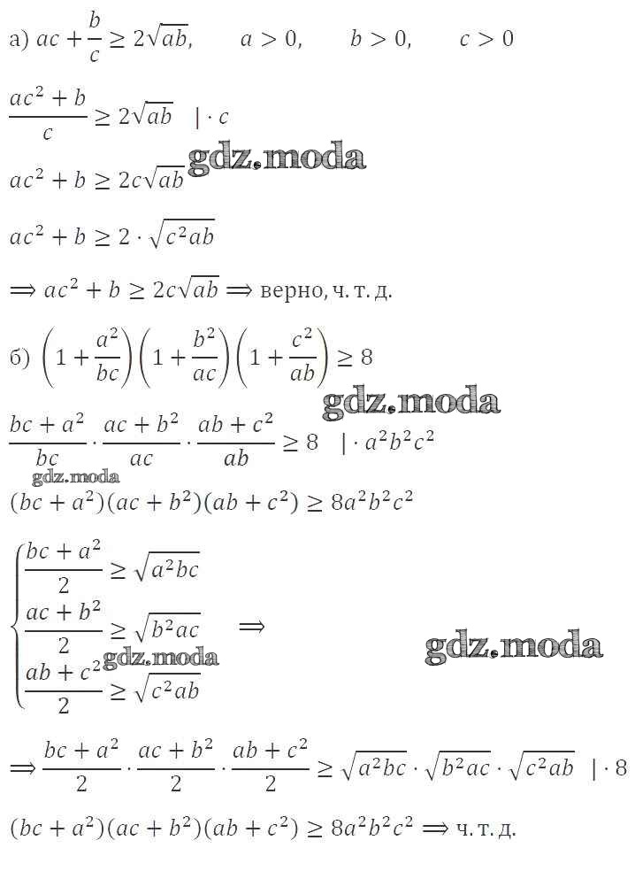
упражнение / 927

Решебник №1
упражнение / 927

Решебник №2
упражнение / 927

Решебник №3
упражнение / 927

Решебник №4
упражнение / 927

Решебник №5
упражнение / 927

Решебник №7
упражнение / 927
