ОТВЕТ на задание № 98 Учебник по Алгебре 8 класс Макарычев
Учебник
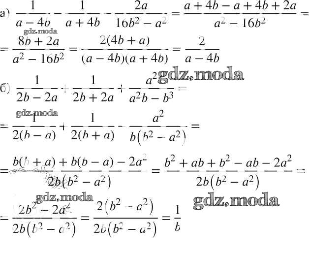
упражнение / 98

Решебник №1
упражнение / 98

Решебник №2
упражнение / 98

Решебник №3
упражнение / 98

Решебник №4
упражнение / 98


Решебник №5
упражнение / 98

Решебник №6
упражнение / 98

Решебник №7
упражнение / 98
