ОТВЕТ на задание № 99 Учебник по Алгебре 8 класс Макарычев
Учебник
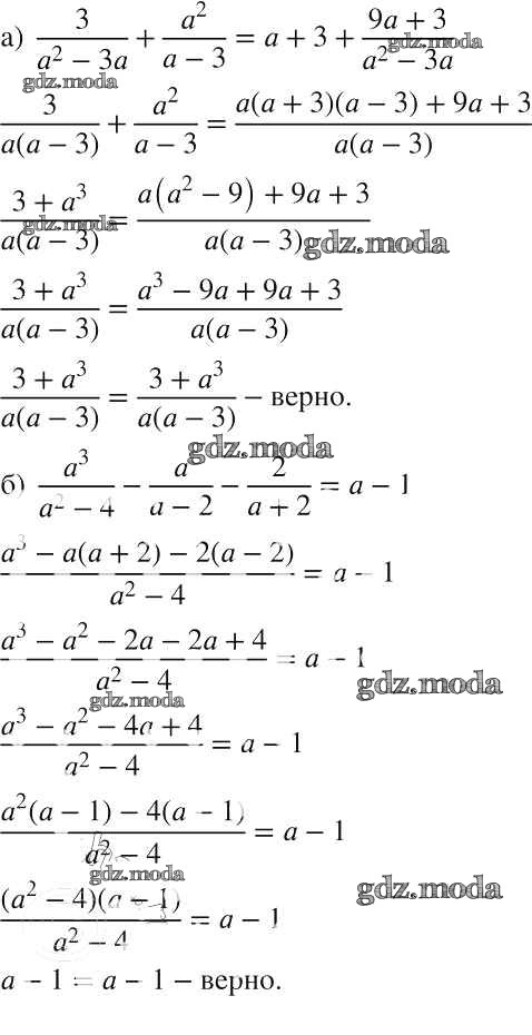
упражнение / 99

Решебник №1
упражнение / 99

Решебник №2
упражнение / 99

Решебник №3
упражнение / 99

Решебник №4
упражнение / 99


Решебник №5
упражнение / 99

Решебник №6
упражнение / 99

Решебник №7
упражнение / 99
