ОТВЕТ на задание № 980 Учебник по Алгебре 8 класс Макарычев
Учебник
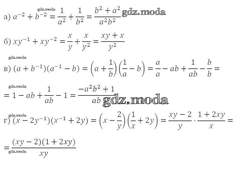
упражнение / 980

Решебник №1
упражнение / 980

Решебник №2
упражнение / 980

Решебник №3
упражнение / 980

Решебник №4
упражнение / 980

Решебник №5
упражнение / 980

Решебник №7
упражнение / 980
