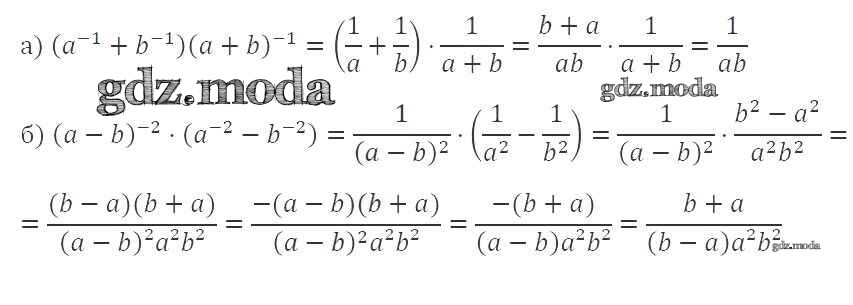
ОТВЕТ на задание № 981 Учебник по Алгебре 8 класс Макарычев
Учебник
упражнение / 981

Решебник №1
упражнение / 981

Решебник №2
упражнение / 981

Решебник №3
упражнение / 981

Решебник №4
упражнение / 981

Решебник №5
упражнение / 981

Решебник №7
упражнение / 981
