ОТВЕТ на задание № вариант 2 Дидактические материалы по Алгебре 8 класс Мерзляк Алгоритм успеха
Решебник 1
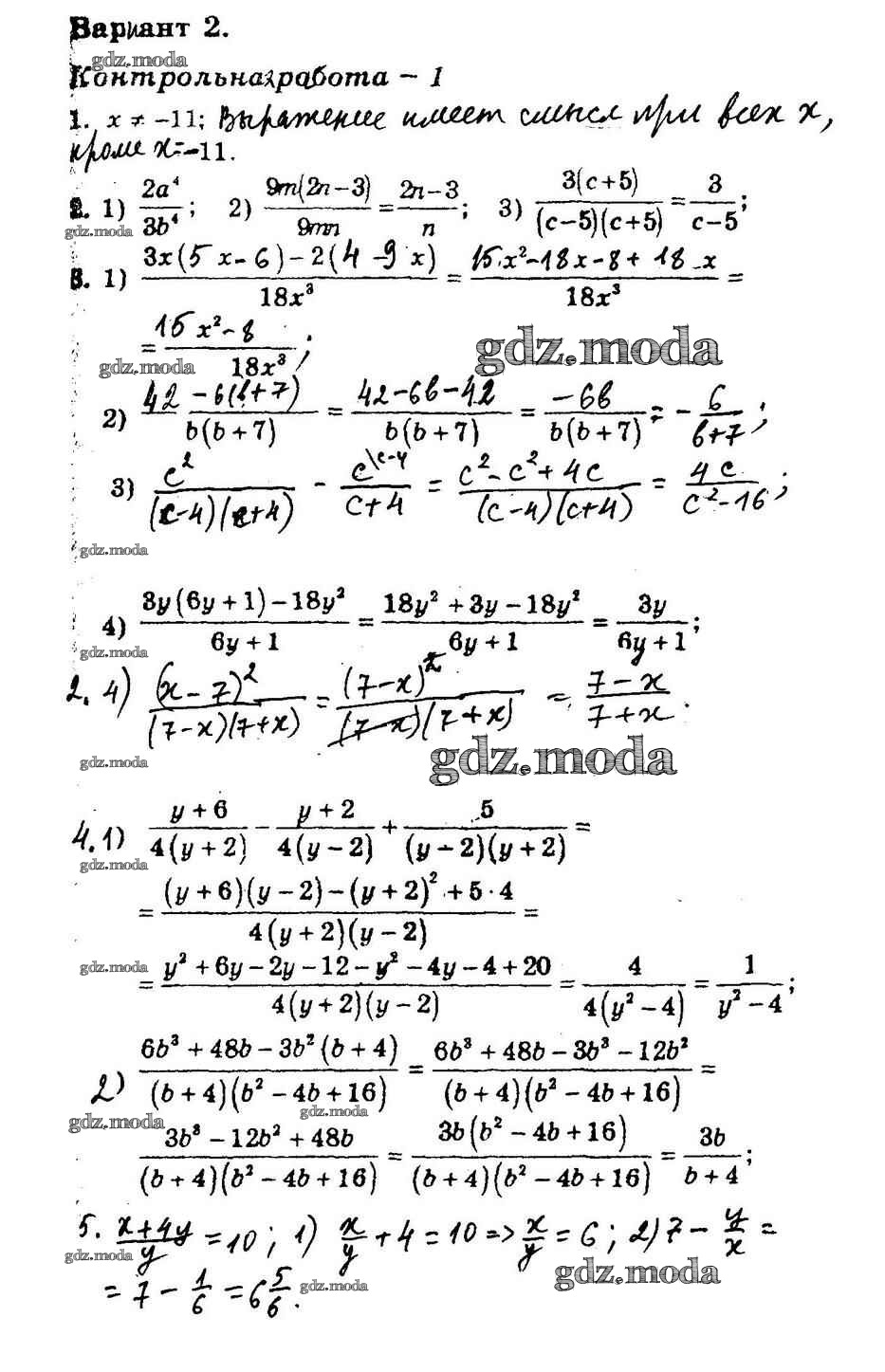
контрольная работа / кр-1 / вариант 2

Решебник 2
контрольная работа / кр-1 / вариант 2


Решебник 3
контрольная работа / кр-1 / вариант 2


Все ГДЗ по Алгебре 8 класс Алгоритм успеха