ОТВЕТ на задание № вариант 1 Дидактические материалы по Алгебре 8 класс Мерзляк Алгоритм успеха
Решебник 1
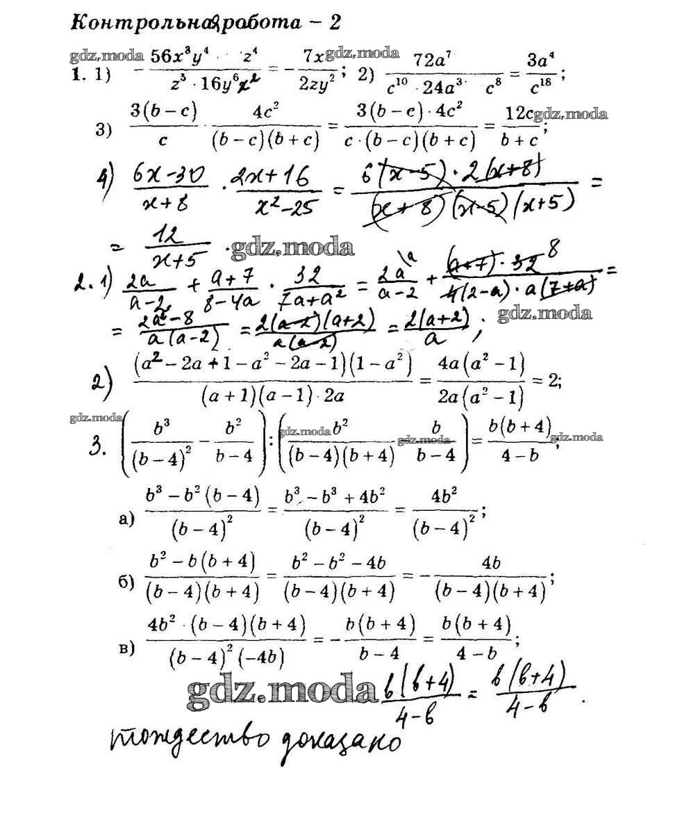
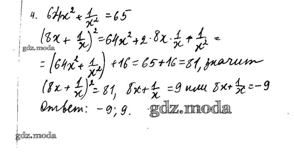
контрольная работа / кр-2 / вариант 1

Решебник 2
контрольная работа / кр-2 / вариант 1


Решебник 3
контрольная работа / кр-2 / вариант 1

Все ГДЗ по Алгебре 8 класс Алгоритм успеха