ОТВЕТ на задание № 12 Учебник по Алгебре 8 класс Мерзляк Алгоритм успеха
Решебник №1
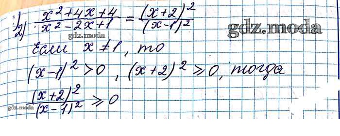
глава 1 / §1 / 12

Решебник №2
глава 1 / §1 / 12

Решебник №3
глава 1 / §1 / 12


Решебник №4
глава 1 / §1 / 12

Решебник №5
глава 1 / §1 / 12

Решебник №6
глава 1 / §1 / 12


Все ГДЗ по Алгебре 8 класс Алгоритм успеха