ОТВЕТ на задание № 13 Учебник по Алгебре 8 класс Мерзляк Алгоритм успеха
Решебник №1
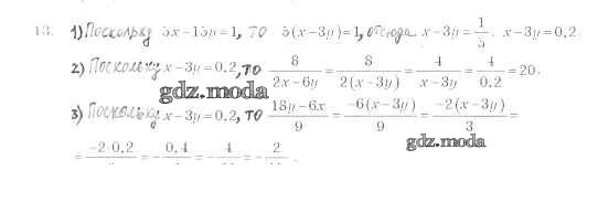
глава 1 / §1 / 13

Решебник №2
глава 1 / §1 / 13

Решебник №3
глава 1 / §1 / 13

Решебник №4
глава 1 / §1 / 13

Решебник №5
глава 1 / §1 / 13


Решебник №6
глава 1 / §1 / 13

Все ГДЗ по Алгебре 8 класс Алгоритм успеха