ОТВЕТ на задание № 19 Учебник по Алгебре 8 класс Мерзляк Алгоритм успеха
Решебник №1
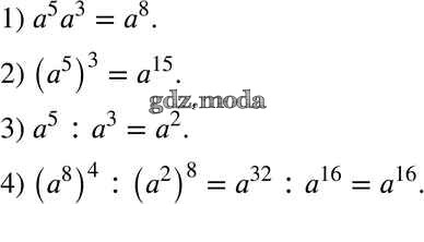
глава 1 / §1 / 19

Решебник №2
глава 1 / §1 / 19

Решебник №3
глава 1 / §1 / 19

Решебник №4
глава 1 / §1 / 19

Решебник №5
глава 1 / §1 / 19

Решебник №6
глава 1 / §1 / 19

Все ГДЗ по Алгебре 8 класс Алгоритм успеха